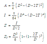
各種断面の断面性能
A
I
Z
Zp
断面積
断面 2 次モーメント ( 鎖線で示した主軸回りのもの )
断面係数 ( 鎖線で示した主軸回りのもの )
塑性断面係数 ( 鎖線で示した主軸回りのもの )